重磅新品 | Fc沉默流抗:FcZero-rAb™新型骨架流式抗体正式上线!
783 人阅读发布时间:2025-02-18 09:37
在流式实验中,除了配色和对照之外,我们还会经常遇到另一个棘手问题,那便是Fc效应——许多细胞表面表达的Fc受体,能够识别并结合抗体的Fc端,导致抗体被标记到非目标细胞上,造成了结果的不准确和不真实。
以兔抗为例,兔IgG作为我们最常用的抗体类型之一,其Fc段与人IgG1的Fc段氨基酸序列同源性很高,尤其FcγR结合区域:

图1 兔IgG与人IgG1 Fc段氨基酸序列比对
兔IgG很容易与人FcγR产生结合,我们通过亲和力测定实验(BLI法)发现,野生型兔IgG(Rabbit IgG-WT)与人Fc受体所有亚型均有强结合,二者间的亲和力基本和人IgG与人Fc受体一致:

图2 野生型兔IgG与人FcγR亲和力测定
因此我们在实验时,通常需要额外增加一个步骤:使用Fc受体封闭试剂来消除Fc效应(Fc block)。这一操作不仅增加了实验难度和成本,而且Fc受体封闭试剂的封闭效果也是参差不齐;比如我们最近采购的一个Fc受体封闭试剂,有一定封闭效果,但效果不尽如人意:

图3 Fc受体封闭试剂效果测试
有没有可能,找到一个从根源上解决Fc效应的好办法?
FcZero-rAb™新型骨架流式抗体正式上线!
针对以上研究痛点和难点,Proteintech的研发团队基于ABCE™单个B细胞抗体发现平台和FcZero™沉默技术平台开发了一系列的FcZero-rAb™新型骨架流式抗体,该系列创新产品采用了全新的抗体骨架,从根源上消除了由Fc受体结合引起的非特异性背景信号。

图4 FcZero-rAb™抗体的Fc沉默原理
相较于传统骨架流式抗体的先天不足,FcZero-rAb™新型骨架流式抗体突破了行业壁垒,具有FcZero™沉默技术平台带来的多重技术革新优势:① 完全消除Fc效应,②定点定量标记,③仅需一种同型对照,④高稳定性。
1. FcZero-rAb™抗体完全消除Fc效应
FcZero-rAb™新型骨架流式抗体的核心在于FcZero™沉默技术,Proteintech通过该技术在Rabbit IgG的Fc CH2区域进行关键氨基酸位点突变,屏蔽了抗体与Fc受体的结合,形成Fc silencing(Fc效应沉默)。
该技术完全消除了兔IgG的Fc段与人Fc受体的结合,包括FcγRI (CD64)、FcγRII (CD32) 和FcγRIII (CD16)等多种Fc受体。

图5 FcZero-rAb™IgG与人FcγR亲和力测定
通过FcZero-rAb™新型骨架流式抗体分析人PBMCs样本,我们可以看到,与传统流式抗体或者传统流式抗体+Fc受体封闭剂相比,FcZero-rAb™新型流式抗体背景更干净,分群更清晰。

图6 FcZero-rAb™抗体Fc沉默效果对比
2. FcZero-rAb™抗体定点定量标记
FcZero-rAb™新型骨架流式抗体采用了生物定点标记技术,每一个裸抗分子的Fc段都有两个明确标记位点,可以定点定量标记所需偶联物。
与市面上常用的化学随机标记相比,生物定点标记技术不仅能够保证偶联物远离抗体活性中心,仅在Fc末端而不影响抗体的抗原识别与结合能力,同时还能确保信号强度的均一性和批次间标记情况的一致性。

图7 生物定点标记和化学随机标记效果对比
3. FcZero-rAb™抗体仅需一种同型对照
传统流式抗体即使来源于同一个物种,也可能有多个抗体亚型,比如小鼠IgG1、IgG2a、IgG2b和IgGM(下图右);而FcZero-rAb™新型骨架流式抗体全系列采用了同一种新型抗体骨架,仅需一种同型对照即可,不仅能够降低实验难度,还能有效节省成本。

图8 FcZero-rAb™抗体仅需一种同型对照
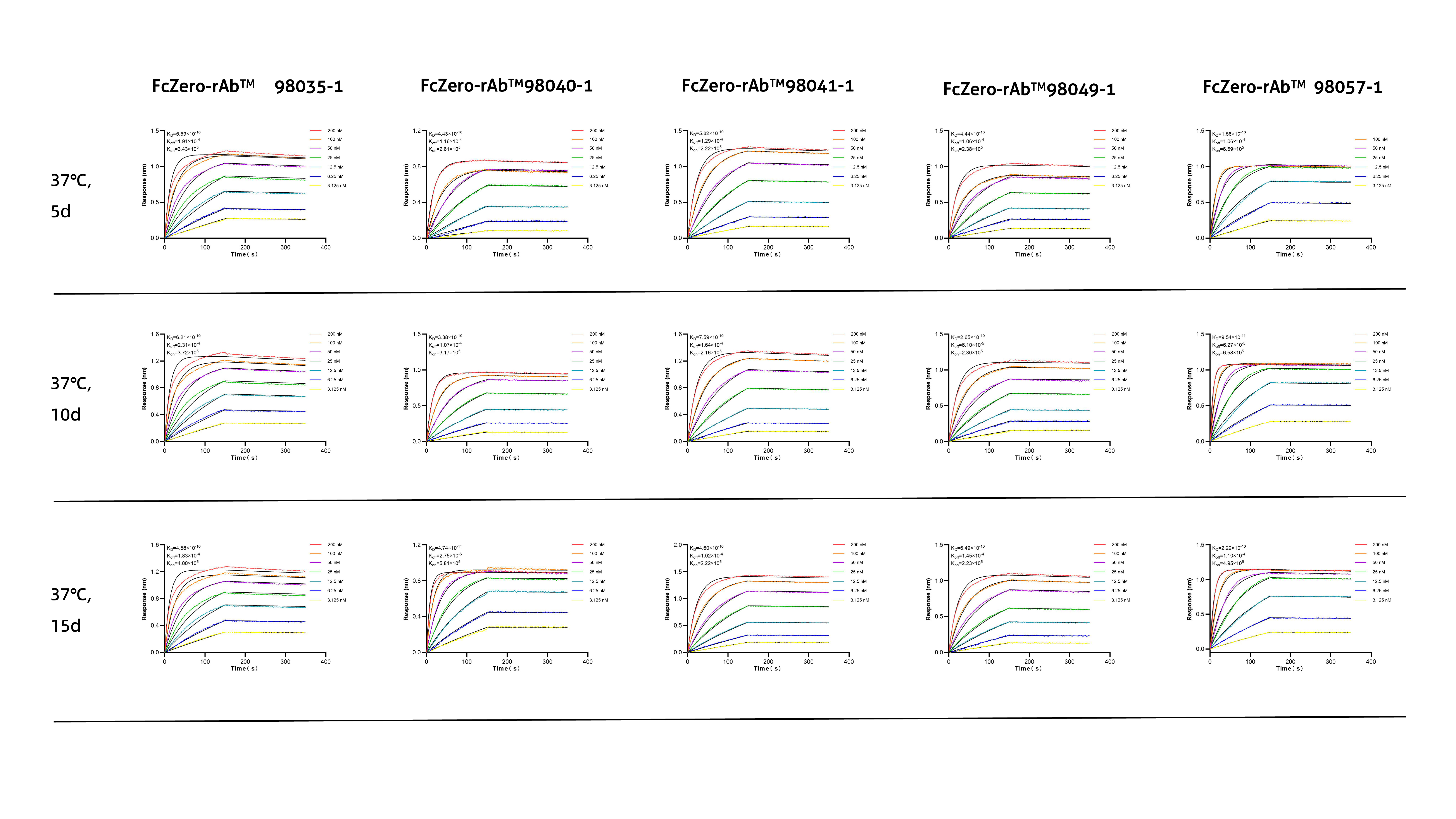
4. FcZero-rAb™抗体可长期稳定保存
针对FcZero-rAb™新型骨架流式抗体的全新骨架,经SEC-HPLC纯度分析、亲和力测定和流式实验检测,FcZero-rAb™新型骨架流式抗体在4℃保存1年之后,成分依旧单一稳定,具有高生物活性。

图9 FcZero-rAb™抗体热加速试验SEC-HPLC纯度分析

图10 FcZero-rAb™抗体热加速试验亲和力检测

图11 FcZero-rAb™抗体热加速试验流式检测
Uni-rAb™重组流式抗体同步上线!
FcZero-rAb™新型骨架流式抗体作为革命性的新型流式抗体,一方面是基于FcZero™沉默技术平台,另一方面则是依托ABCE™单个B细胞抗体发现平台。
ABCE™单个B细胞抗体发现平台是Proteintech新一代重组兔单克隆抗体开发平台,该平台所开发的Uni-rAb™重组兔单克隆抗体已于 2024年6月上线,其“高质价比”快速赢得了大家的认可和喜爱。
如今,与FcZero-rAb™新型骨架流式抗体同步,Uni-rAb™传统骨架重组流式抗体也正式亮相,它采用的是野生型Rabbit IgG抗体骨架,二者间除抗体骨架存在差异之外,其他性质保持一致,均继承了Uni-rAb™重组兔单克隆抗体高特异性、高亲和力及高批次间一致性的优良传统。经充分测试,Uni-rAb™传统骨架重组流式抗体与经典克隆相比具有相似或更优越的性能。

图12 Uni-rAb™流式抗体(左)与其他品牌抗体对比(右)
Uni-rAb™传统骨架重组流式抗体能够兼容其他传统流式抗体体系,可作为流式实验的常规选择;FcZero-rAb™新型骨架流式抗体能够提供更高质量的支持,可完美屏蔽Fc效应干扰,拿到更真实更可靠的实验成果。二者可满足不同的实验场景需求。
作为专业抗体生产商,Proteintech在创新的道路上从未止步。
从兔多抗、鼠单抗、羊驼纳米抗体、重组兔单抗,到如今的FcZero-rAb™新型骨架流式抗体和Uni-rAb™传统骨架重组流式抗体,Proteintech持续创新,力争通过超级先进的技术和工艺,给大家提供最优质的产品与服务,同时维持合理且适中的价格;让所有的科研工作者,都能享受到技术创新给大家带来的便利和助力。
这一次,基于新平台和新技术锻造的FcZero-rAb™新型骨架流式抗体和Uni-rAb™传统骨架重组流式抗体,希望能给大家带来全新的体验!
截至今日,Proteintech已经上线百余个FcZero-rAb™新型骨架流式抗体和千余个Uni-rAb™传统骨架重组流式抗体,前者目前可提供PE和APC两种标记,后者可提供9种配色,并且在ABCE™单个B细胞抗体发现平台的高通量加持下,每月都能上新大量新产品。
FcZero-rAb™新型骨架流式抗体列表
(新产品及新配色持续更新中)

PS:除了产品研发技术的创新之外,Proteintech官网近期也将上线一个创新功能,将通过3d结构展示每一个抗体与抗原的结合位点,并可根据所限定的序列区域选择最适配的抗体,敬请期待!